Ausgangssituation
Halogenhaltige Flammschutzmittel (FSM) sind gesundheits- und umweltschädlich und können im Brandfall ätzende und giftige Gase freisetzen. Halogenfreie Alternativen wie Aluminiumhydroxid müssen für eine ausreichende Brandhemmung in großen Mengen zugesetzt werden und beeinträchtigen dadurch die mechanische Stabilität. Um der Migration der FSM aus dem Material und damit der Anreicherung in Mensch und Umwelt entgegenzuwirken, können statt der additiven FSM (aFSM) reaktive FSM (rFSM) eingesetzt werden.
Projektziel
Das Ziel des Projektes war es, Kunststoffbahnen (Folien und Kunstleder) herzustellen, in die rFSM anstatt aFSM eingebunden sind. Dabei sollten Vernetzer mit rFSM so kombiniert werden, dass ausreichend stabile, nicht-klebrige PUR-Folien hergestellt werden können. Es sollte eine hohe Vernetzungsdichte erreicht werden. Diese sollte sich an den fertigen Folien anhand von rheologischen Untersuchungen, Quellversuchen und dynamisch-mechanischen Analysen nachweisen lassen. Für die industrielle Herstellung wichtige Parameter der Vernetzungskinetik (Zeit, Temperatur, Viskosität) sollten mit rheologischen Methoden bestimmt werden. Auf Basis dieser Ergebnisse und aus Untersuchungen an Folien sollten flammgeschützt ausgerüstete Kunstleder entwickelt werden.
Lösungsweg
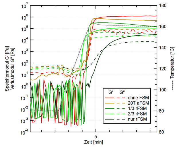
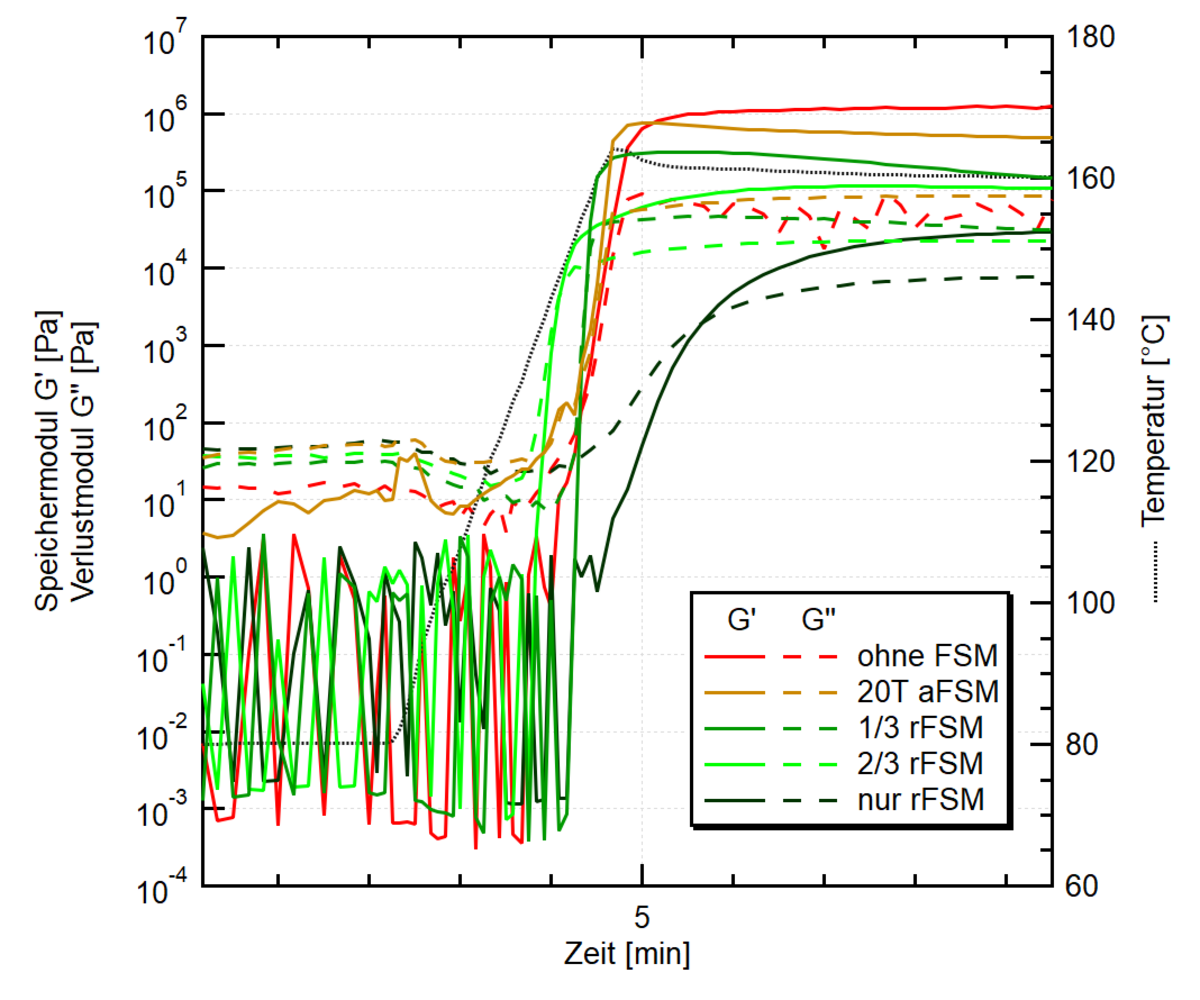
Der Lösungsweg beinhaltete unter anderem die Erarbeitung einer Messvorschrift für die rheologische Charakterisierung der Vernetzungsreaktion zwischen PUR-Prepolymeren und rFSM. Im Fokus standen Untersuchungen zum Einfluss von Rezepturvariationen sowie spezifischen Messparametern wie Temperatur, Spaltabstand, Haltezeiten. Auf Basis der Ergebnisse sollten geeignete Rezepturen ausgewählt und damit Folien und Kunstleder hergestellt werden.
Ergebnisse
Innerhalb des Forschungsvorhabens wurde ein Messprotokoll für rheologische Messungen etabliert, mit welchem die Vernetzungsreaktion verschiedener PUR-Systeme mit rFSM untersucht werden kann. Auf Basis der Ergebnisse konnte die Vernetzungstemperatur sowie -zeit ermittelt werden. Die Messkurven lieferten zudem Hinweise auf den Verlauf und die Vollständigkeit der Vernetzungsreaktion. Basierend auf den Untersuchungen wurden Rezepturen ausgewählt und mit rFSM ausgerüstete Folien im Labormaßstab hergestellt. Von diesen wurden die mechanischen und physikalischen Eigenschaften untersucht und ein Zusammenhang mit den Ergebnissen aus den rheologischen Untersuchungen erarbeitet.
Auf Basis der umfangreichen Untersuchungen am Rheometer, der Folienherstellung und Charakterisierung wurden geeignete Rezepturen ausgewählt, welche für die Herstellung von PUR-basierten und flammgeschützten Kunstledern verwendet wurden. Die Kunstleder wurden im Labormaßstab hergestellt und auf ihre mechanischen Eigenschaften sowie das Brandverhalten geprüft. Im Ergebnis hatten die Kunstleder einen MARHE-Wert von 61,9 kW/m², eine Brennrate von 72,1 mm/min im horizontalen Brennverhalten und waren selbstverlöschend in der Oberflächenbeflammung. Die Emissionswerte waren ähnlich zu denen ohne FSM und lagen bei 1 und 3 µg/g (VOC und fog). Bei den mechanischen Eigenschaften wiesen die Kunstleder Zugfestigkeiten von 10,7 und 5,8 N/mm² (längs und quer) auf und bestanden im Dauerfaltverhalten nach 100.000 Touren.
Dank
Das Forschungsvorhaben Reg.-Nr.: 49MF220161 „Reaktiver Einbau von Flammschutzmitteln in PUR-Systemen“ wurde anteilig vom Bundesministerium für Wirtschaft und Klimaschutz (BMWK) aufgrund eines Beschlusses des Deutschen Bundestages innerhalb des Förderprogramms „FuE-Förderung gemeinnütziger externer Industrieforschungseinrichtungen – Innovationskompetenz (INNO-KOM) – Modul Marktorientierte Forschung und Entwicklung (MF)“ über den Projektträger EuroNorm GmbH gefördert. Wir bedanken uns für die gewährte Unterstützung.





